腾博tengbo9885官网

目今位置:产品中心
guobang
产品中心
立人立国 兴业兴邦
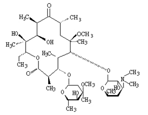
克拉霉素

中文名:克拉霉素
英文名:Clarithromycin
分子式:C38H69NO13
CAS NO:81103-11-9 
规格:25kg/桶 10kg/桶 

克拉霉素
返回主目录
关联产品
名称 审查详细
阿奇霉素 审查详细
罗红霉素 审查详细
2条纪录 第1页
 跳转至
网站地图